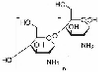
中文名稱 : 羧化殼聚糖
其他中文名稱 : 水溶性殼聚糖;水溶性羧化殼聚糖;水溶性甲殼胺
英文名稱 : Chitosan
其他英文名稱 : Chitosan soluble in water
C A S : 9012-76-4
分子式 : (C6H11NO4)n
級 別 : BR
羧化度 : ≥60%
黏度(1%) : 10~80 mPa?s
PH(1%水溶液) : 6.0~8.0
干燥失重 : ≤15.0%
重金屬 : ≤5ppm
不溶物 : ≤0.5%
性 狀 : 透明至半透明白色或淺黃色不定型固體。溶于水
用 途 : 生化研究。殼聚糖是一種具生物相容性、抗細菌和能被生物降解的聚電解質,具有廣泛的生物醫藥和工業用途。它的化學性質和低毒性可作為藥物的組成部分、用于基因轉移系統、用作生物降解膜及作為組織工程中的骨架。
保 存 : RT
購物車
幫助
021-54845833/15800441009
