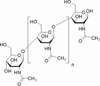
其他中文名稱 : 甲殼素;聚乙酰氨基葡萄糖;甲殼質;殼素;明角質;殼蛋白;β-1,4-聚N-乙酰-D-葡萄糖胺
英文名稱 : Chitin
其他英文名稱 : Poly(N-acetyl-1,4-β-D-glucopyranosamine;Poly-(1→4)-β-D-N-acetylglucosamine
C A S : 1398-61-4
(C8H13NO5)n=(203.19)n
平均分子量 : 約400000
級 別 : BR
總 氮 : 6.0~7.0%
灼燒殘渣 : ≤0.5%
性 狀 : 類白色或淺黃色片狀物或條狀物或粉末。是昆蟲及甲殼類動物硬的角質和外骨骼的主要成分。溶于濃鹽酸、硫酸、冰乙酸和78%~97%磷酸,幾乎不溶于水、稀酸、堿、乙醇和其他有機溶劑。半數致死量(大鼠,靜脈)50mg/kg。甲殼素其脫乙酰基產物即為殼聚糖,甲殼素由于其來源的不同,有三種結構形式-α、β和ν。α-甲殼素分子鏈之間以反平行方式排列,具有很強的分子間氫鍵作用力。β-甲殼素分子主鏈之間以相互平行方式排列,分子間的作用較弱。γ-甲殼素分子中則兼有前述兩種分子結構。α-甲殼素是從蝦蟹殼中提取的甲殼素。β-甲殼素主要可由柔魚或槍烏賊體內的羽狀殼中分離得到
用 途 : 生化研究。可用于色譜載體、環境保護、放射性污染的凈化、礦石綜合利用、玻璃纖維整理劑、制成高聚物型的染料、造紙工業的添加劑、其他織物的整理劑、照相工業材料
保 存 : RT
購物車
幫助
021-54845833/15800441009
