其他中文名稱 : 殼聚糖;甲殼質;幾丁聚糖;殼多糖;2-氨基-β-1,4-葡聚糖;胺聚糖;聚D-葡糖胺;脫乙酰殼多糖;脫乙酰幾丁質;聚氨基葡
糖;可溶性甲殼素;殼糖葡糖胺;絮凝劑;β-(1→4)-2-脫氧-D-葡聚糖;β-1,4-聚-葡萄糖胺;1,4-2-氨基-脫氧-β-D-葡聚糖
英文名稱 : Chitosan
其他英文名稱 : Poly(beta-(1,4)-2-amino-2-deoxy-D-glucose);Poly(beta-(1,4)-D-glucosamine)
C A S : 9012-76-4
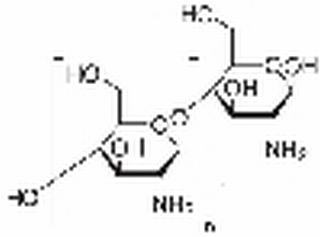
分子式 : (C6H11NO4)n
分子量 : 約1.5×105
級 別 : BR,低粘度100
脫乙酯度DAC : ≥90%
黏 度 : ~100 mPa?s
P H : 7.0~9.0
水 分 : ≤10.0%
重金屬 : ≤10ppm
砷 : ≤1ppm
分子量 : 約4×105
級 別 : BR,中粘度200
黏 度 : ~200 mPa?s
分子量 : 約6×105
級 別 : BR,高粘度400
黏 度 : ~400 mPa?s
性 狀 : 類白色或淺黃色粉末。不溶于水,能溶于稀酸,能被人體吸收。殼聚糖是甲殼質的一級衍生物。其化學結構為帶陽離子的高分子堿性多糖聚合物,并具有獨特的理化性能和生物活化功能
用 途 : 生化研究。殼聚糖是一種具生物相容性、抗細菌和能被生物降解的聚電解質,具有廣泛的生物醫藥和工業用途。它的化學性質和低毒性可作為藥物的組成部分、用于基因轉移系統、用作生物降解膜及作為組織工程中的骨架。
保 存 : RT
購物車
幫助
021-54845833/15800441009
