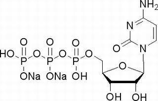
中文名稱 : 5-胞嘧啶核苷三磷酸二鈉鹽
其他中文名稱 : 5-胞苷三磷酸二鈉鹽;胞苷-5′-三磷酸二鈉鹽;5′-三磷酸胞苷二鈉鹽
英文名稱 : 5′-CTP,2Na
其他英文名稱 : Cytidine 5′-triphosphate disodium salt;CTP
C A S : 36051-68-0
C9H14N3Na2O14P3=527.12
級 別 : High purity grade
含 量 : ≥95.0%(HPLC)
P H : 3.0~5.0
A250/A260=0.40~0.55
A280/A260=2.00~2.20
干燥失重 : ≤7.0%
重金屬 : ≤10ppm
性 狀 : 白色或類白色結晶粉末
用 途 : 生化研究。參與核酸生物合成,在蛋白質合成中起供能作用。
保 存 : -20℃
購物車
幫助
021-54845833/15800441009
