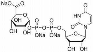
中文名稱 : 尿苷二磷酸葡糖醛酸
其他中文名稱 : 尿苷二磷酸-α-葡糖醛酸;5ˊ-二磷酸尿苷葡糖醛酸三鈉;尿苷[5ˊ]二磷酸[1]-α-D-葡糖醛酸三鈉鹽
英文名稱 : UDP-GlcA
其他英文名稱 : UDPGA;Uridine-diphosphate-glucuronic acid trisodium salt;Uridine 5′-diphosphoglucuronic acid trisodium salt;Uridine[5′]diphospho[1]-α-D-glucopyranosuronic acid trisodium salt
C A S : 63700-19-6
C15H19N2Na3O18P2=646.23
級 別 : BioChemika
含 量 : ≥98.0%
水 分 : ≤10.0%
性 狀 : 白色或類白色粉末,對濕敏感,溶于水:10mg/ml
用 途 : 生化研究。
保 存 : -20℃
購物車
幫助
021-54845833/15800441009
