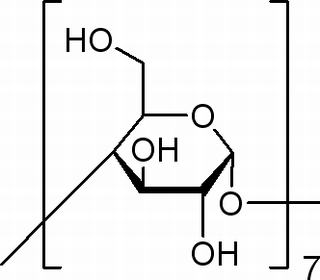
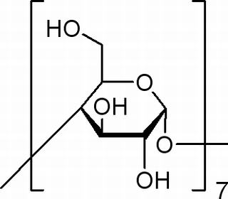
中文名稱 : β-環糊精
其他中文名稱 : 環麥芽七糖
英文名稱 : β-Cyclodextrin
其他英文名稱 : beta-Shardinger dextrin;Cycloheptaamylose
C A S : 7585-39-9
C42H70O35=1134.98
級 別 : High purity grade
含 量 : ≥99%
比旋光度 : +159o~+164o
P H : 5.0~8.0
還原糖 : ≤0.2%
重金屬 : ≤10ppm
性 狀 : 白色粉狀結晶。在分子環狀結構中有空穴,空穴內徑0.7~0.8nm,與各種有機物可生成包埋化合物。1g溶于18.5ml水。
用 途 : 生化研究。絡合劑。酶活性研究。組織培養劑
保 存 : RT
購物車
幫助
021-54845833/15800441009
