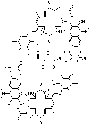
中文名稱 : 泰樂二甲基酸
其他中文名稱 : 酒石酸泰樂菌素;酒石酸太東菌素;酒石酸泰洛星
英文名稱 : Tylosin tartrate
C A S : 74610-55-2
2(C46H77NO17).C4H6O6=1982.31
級 別 : BR
效 價 : ≥800u/mg
水 分 : ≤4.5%
性 狀 : 白色至淡黃色粉末
用 途 : 生化研究。對支原體、革蘭氏陽性菌有特效
保 存 : 2~8℃
購物車
幫助
021-54845833/15800441009
